知乎的算法是为了优质内容获得更多的曝光而服务的。其中,点赞率(注意不是点赞数),是我们最应该关注的指标之一。

知乎的威尔逊算法

马力_可能性与大设计
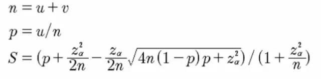
u表示赞同,v表示反对,n表示总票数,p表示赞同率,z是正态分布的分位数(参数),S表示最终的威尔逊得分。
(1)当总票数较小的时候,获得赞同的答案,得分 score 会迅速增加。总投票数越多,赞同票对得分score的影响越小。同时,投票数
较多,得分score较高的答案,开始获得反对票时,得分会快速下降。得分score越低,下降速度越慢。
(2)score 的取值范围为(0,1),且与投票总数无关。(旧算法中,score=加权赞同-加权反对,不同问题之间得分差别较大,无法横向比较)。
(3)n 越小,威尔逊算法的修正效果越强。
知乎的权重
之前说到的数值Z就是权重的重要影响系数——权重。
目前根据实操情况已知:权重会影响到相同赞同和反对下的回答排名,相同赞同和反对数的回答,权重越高,点赞排名上升越快,反对排名下降越慢;权重的重要影响因素:收藏、感谢等
目前权重官方没有公布计算公式,一个用户在某个专业领域的权重,除了收藏和感谢有所影响之外,成为优秀回答者、提升盐值、实名认证等均有可能影响。当然这个对问题的推荐影响不大,即使是没有权重的小号,在知乎的机制之下,依旧有可能获得高曝光和高赞。
目前权重官方没有公布计算公式,但经过我们多次测试后发现影响权重的因素,
可能有:
• 收藏• 感谢• 盐值• 成为优秀回答者• 成为付费会员• 提升盐值• 实名认证
ps:权重是分领域的。
比如,你经常回答动漫领域的话题,并且在这个领域获得许多赞同,那么动漫话题的权重可能会增加到 100(假设的)。但你在没有回答过的读书、金融等其他领域的权重可能还是 0。
盐值
知乎盐值分布范围在 0 – 1000 之间,分值高说明该用户专业友善可信赖。根据注册时的信息完善程度,用户会获得一个 260 – 300 之间的初始盐值。后续盐值的增减随用户的行为累积计算,每周更新一次。知乎盐值从「基础信用」、「内容创作」、「友善互动」、「遵守规范」、「社区
建设」五个维度进行综合计算,每个维度的指数计算原理,可看:https://www.zhihu.com/term/credit
Q1:为什么知乎回答或文章需要冷启动/互赞求助?
A:在回答发布后的2 小时内,知乎会把你的内容,进行小范围测试(比如 50人)。可能这50 人出于工作忙、睡觉等其他原因,没能给你的内容点赞,导致这个回答,没有获得足够的赞数。那这个回答,很有可能就”凉“了。冷启动/互赞就是“做弊”,帮你在一定时间内,获得更多的用户点赞,增加曝光量。
Q2:过了 2 小时之后再求赞,是否可以呢?
A:不可以。我们利用了 100 个小号进行了测试,超过冷启动时间,即使再给文章 70+ 点赞,知乎的推推荐也不高。不过你回答后,在一个问题下排名前 5 ,该问题上热榜后(即便距离发布该回答已经超过了 2 小时),求 30 – 50 个赞,会让你的回答获得更好的排名,得到更多的曝光量。
注意,知乎反作弊机制,对热榜回答的求赞监测很严格,一旦发现你刷赞,轻则删除回答,重则把你以前获得的全部赞数清零,甚至是账号禁言几天或封号。
ps:知乎对处罚过的账号,一般会限流。
Q3:为什么回答借助启动赞排名靠前了,但赞数还是很少?
A:冷启动点赞像一支兴奋剂,只能暂时让你的回答排在前面,以便获得更多的浏览量。但你的回答质量差,很多用户看了之后都不买账,你觉得他会给你点赞吗?所以过不了多久,你的回答就会被其他优质回答挤下来,基本没有翻身的机会。因此,请记住内容优质是关键。
关于这点,还得多说两句,不少的小伙伴的回答在某个问题下排位前 3,但不久之后排名 5-10 了,这种现象在热榜上最常见,可能是被恶意踩了,但更可能是你的回答内容不够吸引人,因为排位前 3 的回答跟问题形成了相辅相成的关系,彼此带来浏览量。想恶意踩的人一般不会踩这些回答,毕竟踩了之后,浏览量可能会大大减少,问题会下热榜。
Q4:假如我白天很忙,晚上才有空爬楼点赞,这种点赞有用吗?
A:如果一篇回答,作答浏览量特别大的问题,比如当前在热榜排名前 20,在发布后 2 小时内,达不到10 – 20 个赞,甚至在 5-10 小时内都没有突破 50 个赞,基本上回答已经凉了,再点赞的意义不大。
Q5:以前有个回答非常优质,但启动赞不够,还能通过点赞救活回答吗?
A:同领域的知乎超级大V 点赞、赶上热榜、内容自荐(知乎V5的特权),能”救活”之前的回答。此外,只有唤起用户情绪的内容,才是优质内容。并不是你花几天的时间写的回答就是优质。
总结:
冷启动其实就是利用知乎小范围测试的漏洞,短时间内给回答达到一定的赞,符合知乎的推荐机制对赞数的要求,知乎会把该回答推送给更多用户。至于之后回答是否获得高赞,就要回归你回答的内容是否优质,以及是否善于引导用户点赞。
ps:建议晚上 10 点后就不要发布回答了。
知乎反作弊机制
设计初衷:
知乎净化社区,防止利益集团,利用推荐机制的漏洞耍阴招,比如恶意踩别人的回答或举报等情况,设计了作弊机制。知乎反作弊机制,常见雷坑:知乎会暂时屏蔽刚发布的回答 10 分钟,即发布回答 10 分钟之内,其他人点击你分享的链接,给你点赞,网页可能会出现 404 错误的提示。
知乎利用这个方法,防止别人快速刷赞。知乎会对刷赞这种作弊行为,进行记录。官方对刷赞行为处罚很重,一旦发现,轻则删除回答(盐值
高于 500 或知乎大 V 有1次机会),但一般会把你账号之前获得的点赞清零,即消赞,情节严重的会直接封号
Q:直接点赞就可以吗?什么情况会消赞?
A:求赞者最好在发布回答后的10-15 分钟(如果回答有视频的话,一定要等到视频审核完,再过 10 -15 分钟),以链接形式分享到点赞群。点赞者点击链接,进入回答页面时,最好在页面停留60秒再点赞,有一个正常的浏览动作,点赞太快,容易被知乎作弊机制监测到,且会被判定为刷赞。如果频繁互赞,很容易被知乎作弊机制检测到刷赞,会被知乎消赞,甚至是封号。
由于点赞群的同伴都是固定,要控制发回答集赞的频率和间隔时间,避免同一批人多次频繁点赞,被知乎作弊机制检测到。
点赞群不足 100 人,建议2天内,只发 1 篇回答的链接到这个群;点赞群超过 200 人,建议1天内,最多发 2 篇回答的链接到这个群。

1.不要持续、高频地给同一个账号点赞。高频互赞在知乎是比较危险的行为,可能会被官方判定为刷赞。
ps:高频互赞指的是短时间内对多个内容进行点赞。比如, 在1 分钟内给 3 个知乎回答或文章进行点赞。
2.不要用全新账号写完回答就立刻求赞。同时也要避免,总是同一批人给你点赞 !!!
3.点赞时注意读完和停留时间。新号点赞容易掉,分享出去的链接,不要秒赞,被系统判定为秒赞,导致扣分。
4.新帐号不要带外链。(包括几百甚至上千粉丝的一些帐号),如果被人举报或被系统检测到,轻则删除回答,禁言账号几天,重则直接封号。
5.不要多个帐号用同一个 IP 登录。一个帐号中枪,其他也会跟着中枪。
6.不能直接放公众号二维码链接或者公众号文章链接。知乎默认是可以引流公众号的,但不能放外链。知乎大 V 或获得大多数用户认同的高赞回答“不得不”放上公众号文章链接,即使举报,知乎也会”睁只眼闭只眼“。
7.买一个知乎的盐选会员。除了可以听很多 live,还能增加点安全感。
8.保持在知乎上的活跃度。多浏览、关注、收藏、感谢,以及多写没有转化设置的回答。
9.多注册几个小号养着。主号被封,小号上位。
账号尽量做垂直细分领域的定位,这样有助于在话题下的权重积累和推荐量增加。帐号的名称、封面、简介、个人简介尽量完善。建立好一套标准化的人设

运营做知乎,主要两个目的:打造个人 IP ,为公众号引流。但无论是什么目的,都要有自己的定位。比如,定位心理学、军事、健身等。你在该领域回答越多,获的赞数、收藏数以及感谢数越多,你在这个领域的权重就越高。相反,如果你一直都是随性回答,就不要怪知乎老是给
你推荐一些乱七八糟的问题。如果你浏览或者回答过军、事类题材,哪怕是一次,那么知乎后台就觉得你喜欢军事,然后就拼命给你推军事类的问题,想让你把时间更多花在知乎上,提高所谓的留存率。想知道自己的知乎定位是否清晰,可以看一下你知乎首页的推荐
Q1:追热榜很难,能不能寻找有机会上热榜的潜力问题呢?
A:可以的,刚上热榜的问题,大多是很新的问题。所以,近期的新问题,上热榜的概率就越大。特别是回答数在 50 左右,关注数在 100-500 之间,重点关注这类问题的热度变化(关注人数、浏览量)。具体情况要看领域,有些领域很垂直,这样埋伏的做法就OK;有些领域太广,很难预估哪个问题会近期上热榜。
Q2:如何寻找有潜力的新问题?
A:搜话题,进入话题后,看讨论区出现的问题。点击进去后,看右侧的相关的问题,留意问题的创建时间、回答数以及浏览量,着重看浏览量和回答数的变化,特别是该领域的知乎大 V 回答数。
Q3:如何寻找目前关注度、浏览量很高的热度问题呢?(推荐优先回答这类问题)
A:可以用 Excel 表,定位到相关话题下,根据浏览量变化进行筛选,分别记录相隔 8小时、12 小时和 24 小时的浏览量变化,这是最直接确定问题真实热度的方法。这样做的好处:把有些关注人数很高,但近期实际热度很低的问题剔除掉。筛选出高热度的问题,为其准备优质回答。内容优质+启动赞,更易触发知乎的推送机制,将优质的新回答推送给关注者。

(以上,就是浏览数很高,但实际热度很低,问题已经冷了的例子)
ps:浏览时间可以根据自己的需要进行设置。比如,我最近修改为:9点、16点、21点、第二天9点。要优先去回答,几乎每个月都可以上一次热榜的问题。
Q4:热榜问题的热度很高,是否要优先追热榜问题?
A:热榜问题不等于高热度问题。可以随意点开热榜上排序 30 位左右的问题看下,有些热榜问题的高赞回答还不到 200 赞,证明有些热榜问题的热度,不如那些没上热榜,但具有很高热度的问题。
Q5:输出很困难怎么办?
A:推荐看书。用拆书的方法,读一两页就能写,记录让你感同身受的点,再查点资料,就可以输出一篇文章,快速简单上手快。其实我们看同类型的公众号文章,也能拆解的,看观点,再补充案例也是可以的,最重要的是你要加入你自己的想法,不然真的沦为洗稿了。

资源盘点型问题(典型格式:有哪些)
热度:高 精准度:高引流 效果:好 难度:一般 核心 为用户提供更便捷的解决方案。
答题要点
更完善的解决方案(统计所有高赞回答的书目),然后筛选出推荐次数最多的(帮助用户节省时间)。更权威的解决方案(XX大学教授推荐、TED推荐等等)
论证(分享)型问题?(典型格式:如何)
热度:高 精准度:高 引流效果:较好 难度:高 核心 提供逻辑严谨的解决方案并且能说服用户
答题要点
树立自己的权威,有明确的观点、逻辑自洽、合适的案例举证。(简述:能够读得通的干货内容,比别人家的更优秀)
开篇点明中心观点,表达能力不够,主要是因为思维能力不行,层层递进,证明自己的观点,分论点层层升华,从思维没有结构,到语言是思维的传声筒,所以语言没有结构,最后提出解决方案:你需要结构化思维,每一个分论点下面,用案例进行论证,从而增强说服力。总结升华,全篇完结。通过结构化思维的进一步诱导,引导用户关注专栏和公众号。每一步都环环相扣,非常之经典的总分总结构的议论文。









作者:职业生活三十年
