
2019年已经要过去了,相信很多用户增长的从业者和企业今年一定对这些词感触颇深:预算骤减、套路失灵、成本增加、留存困难、增长乏力……。在流量红利逐渐消失的时代,增量空间变小,增长越来越难,用户增长的突破口在哪里?
在流量红利时代,我们更容易通过外部流量的获取来获得增长。然而,近年来随着流量红利的消失,增量空间变小的情况下,我们更应该注重“内增长”,也就是从注重外部流量,转向产品自身驱动的增长。通过强化产品痛点和体验,打造一些能让产品自增长的功能和模块,让用户可以自我繁殖和增长,让增长机制产品化。
下面我分别从获客、激活、留存、推荐几个方面来分析如何打造产品的自增长能力,实现增长机制的产品化。
获客:产品化获客的三种方法和注意事项
说到获客,大家最容易想到的是市场化的获客,比如通过渠道投放、传播等外部流量的获客。现在流量红利的消失,获客成本越来越高。尤其是对很多创业公司和小公司来说,是没能力大规模的砸钱进行广告和渠道的投放。
有一种低成本的获客方式,是最容易被忽略的,那就是产品化的获客。其实产品就是最大的媒介和渠道。尤其是当一个产品拥有几百上千万用户时候,如果能发动这些用户帮助传播,比在外部渠道花费几千万的费用可能效果更好。因为产品化的获客经常与推荐同时发生,因此我们在这里,将两者放在一起分析。
01 产品化获客/推荐的三种方法
产品化的获客根据产品的不同而不同,但一般来说会有如下一些经常用到的方法:

(1)利益诱惑
主要是通过产品化机制的设计,设置利益诱惑因子,让新用户自愿分享或者邀请其他用户的方法实现获客/推荐。一般有几种玩法:
- 分享获利
分享链接或者二维码出去,别人购买后,自己也可以相应的获利,消费的人越多,自己获利越多,其实是一种分销模式。很多微商其实没有做一分钱的推广,就是靠这种玩法做起来的。现在很多知识付费类产品也喜欢用这种模式去实获客和变现。
- 多方优惠
用户分享出去,自己可以获利,别人也可以获利。
比如滴滴最初的红包分享模式,分享出去自己可以获得红包,领取的人也可以获得红包,这个产品化的红包分享功能为滴滴最开始的获客立下了汗马功劳。美团外卖和饿了么外卖也是采用的这种红包分享模式。

还有一种是拼团的模式,玩得最极致的是拼多多,拼多多不仅把拼团当做一种产品获客的功能,甚至将其做成了自己做核心的商业模式。通过这种拼团模式,为用户在微信上创造一种分享的场景,拼多多几乎在没有做任何外部广告和渠道投放获客的情况下,成立仅仅三年就上市,成为仅次于阿里和京东的第三大电商平台。

拼多多的拼团模式不仅让获客具有持续性,还大大降低了获客成本。在2017年的时候,拼多多的获客成本仅仅11元,而当时京东的一个获客成本却高达200多元,阿里是300多,获客成本是拼多多的几十倍。

- 协助任务
用户为了实现某个目的,邀请好友帮助完成某项任务,从而影响到更多的潜在用户,达到传播和裂变的目的。比如携程的助力抢票,用户为了抢票成功,会把链接分享给很多朋,可以让朋友帮忙抢票加速。

(2)社交驱动
也就是在产品功能中加入社交驱动因子,比如利用用户的炫晒秀心理,引发用户的自传播和分享,从而达到获客/推荐的目的。
微信曾经非常火的“跳一跳”小游戏和“微信运动”在产品中设计了排行榜,通过排行榜去营造“比较感”,让用户直接相互竞争,刺激用户分享传播。

(3)期望需求
在满足了用户的基本需求后,解决了用户痛点后,用户一般希望得到的更好体验和功能。当没有这种功能或者体验时,用户心理就会痒。所以,简单的说痒点就是用户的期望型需求,在激烈的竞争市场对用户增长非常重要。
2013年时候,百度有一款产品叫百度魔图,虽然产品的功能和美图秀秀差别不大,但和美图秀秀相比,无论是在知名度还是用户数上都不占优势。两款产品都满足了用户最基本的需求,主要的功能都是修图、美颜等。产品高度同质化,美图秀秀由于先发优势,占据了很大的市场份额,要想从美图秀秀那里抢用户,非常困难。而且,这款工具类的产品,不是公司战略级和核心级的产品,在公司层面不可能投入大规模的预算和资源去推广。在没有大的推广费用,百度魔图推出了一个“PK大咖”的功能,这个功能让用户将自己照片与海量明星作出比对,并以相似度为指标,让每一个用户都能找到和自己长得很像的明星名人,让每一个都有一张明星脸。这个功能一经推出,迅速火爆整个网络。不仅普通用户,连很多明星也自发地玩起来。
靠这个痒点功能,撬动了用户的增长。新版本上线仅10天,就获得了爆发式的增长,直接杀入苹果App Store所有免费应用综合排行榜的第一位,一天新增用户就上百万,短时间内突破8000万用户。
02 产品化的获客/推荐注意事项
以上只是举了一些产品化的获客及推荐方法,要想能获得较好的增长效果,在具体通过产品化功能获客/推荐过程中还需注意一些事项:
(1)给到用户利益和价值
以上不管是邀请分享、社交化功能还是期望型需求实际上都需要给到用户利益和价值,也就是给到用户一个分享的动机和理由,才可能触发产品的自动获客和推荐。因此,我们需要想办法给到用户利益和价值。
(2)不断创新玩法
有一个法则叫“吸引力极递减法则”,就是创新事物刚刚出现时会引发用户的疯狂追捧,随着时间的推移,这种吸引力会逐渐降低,因此,再好玩的在有趣的东西用户也会疲劳,久而久之获客的效果就会下降。因此,我们必须不断地创新玩法,如果仅仅生搬硬套以上方法,用户增长效果就会大打折扣。
比如以滴滴红包为例,当时刚出来的时候是一种创新的玩法,但放在现在效果就没那么好。外卖红包也是如此,刚出来的时候,作为一种新鲜的东西,大家都愿意分享给别人,渐渐地我们看到用户的分享意愿慢慢变弱了。外卖红包只做了一个适创新调整,就是简单地在原来的小红包中加了一个大红包,其实这个模式和微信的拼手气红包比较类似。这个小创新增加了互动性,同时用户为了抢到这个大红包,就更愿意把红包分享到微信群,或者分享给其他朋友,就这么一个小小的改动,分享率就提高了。所以,我们要不断探索创新的玩法。

(3)测试调整,删除不好的功能
对产品化的用户增长功能,我们需要通过数据的反馈进行测试调整。如果数据不好,用户反馈差的功能,我们要不断进行迭代调整,或者直接砍掉,不要增长没做好,反而造成用户的流失。
激活:激活的误区及通过产品提升激活的方法
我们在做用户增长时候往往比较关注用户的获取,而忽略用户的激活,但用户激活非常重要,激活是连接获客与留存的重要环节,只有更多的激活,激活这个环节的漏斗才会大,才有可能更好的留存,从而更多的变现,因此我们对激活一定要引发足够的重视。
01 激活的误区
说到激活,很多人往往简单地以下载或、登录或者浏览作为激活标准,这是最大的误区。如果对激活的认知错误,会造成这些花费大量精力和金钱带来的用户可能对我们的产品毫无价值。
我们以为微博用户为例,如果用户仅仅下载了没有注册,没有发微博,没有浏览行为,这样的用户就算再多,也是没有价值的。而同样以一个饿了么外卖的用户为例,光下载了APP或者浏览了APP页面,而没有产生购买,这样的用户也是没有价值的。
什么样的用户才算是激活用户,才对我们是有价值的?判断的标准是什么?
不同的用户对激活的定义不同,需要具体考虑不同的产品属性,激活用户最关键的判断标准是和用户增长的北极星指标,即第一关键性指标(OMTM)相关,也就是用户的行为会影响北极星指标。
比如,我们以为电商平台为例,电商平台一般的北极星指标是GMV,因此我们将用户完成一次购物行为作为激活更为合理。而若以下载、注册、浏览等行为作为激活标准,对GMV完全没有影响,如果淘宝获得了1000万的用户,这些用户完全不产生消费行为,再多这样的用户对于公司来说等于零。
美图类的工具产品北极星指标一般是活跃度,所以我们可以将用户一次图片的编辑操作为激活。
社交类产品的北极星指标一般是互动和时长,我们则可以将用户一次添加好友,一次聊天行为作为激活标准。
诸如知乎等内容型产品,一般北极星指标是提问和回答,我们可以将一次提问和回答行为作为激活的标准。
因此,用户的激活判断一定要关联产品的北极星指标。
02 激活用户的关键因素和方法
在定义了什么是激活后,接下来要做的就是怎么去提升用户的激活率。
实际上激活就是让用户产生与北极星指标相关的行为,要让用户产生这样的行为需要做到三个关键词:价值、引导、刺激。

(1)价值
也就是我们之前讲到的,这个产品首先要解决用户痛点,能给用户提供价值,而且还要有好的体验,可以简单地用两个词概况:“好处”和“好用”,这是用户激活的基础和根本。我们很难想象一个不能解决用户痛点,又难用的产品会触发用户使用、注册、购买等激活行为。
(2)引导
在产品已经能解决用户痛点,用户下载我们产品后,就需要引导用户对产品进行激活,引导的目的是通过一系列的“指定动作”让用户快速感受到产品的核心价值。切记,引导不是为了展示产品的全部功能,引导是展示产品解决用户痛点的能力。
比如我们以Keep这个APP为例,下载完成后,Keep通过我的信息注册、运动现状,目标、感兴趣的运动慢慢地了解我的需求和痛点,然后给我推荐我感兴趣的话题和内容,所以给我到的内容会非常精准,我会更愿意去继续下面的行为。

在我看完我Keep推荐给我的内容后,我的兴趣已经被激发,自己就会去再找相关的内容,比如课程练习。Keep通过一步步有目的的引导,招招都击中了我的痛点,将我带进了早已设计好的“陷阱”,用户就是这样被激活了。

不同的产品,引导的内容不同,比如对于一些复杂的产品,还需要引导用户怎么使用。如果没有这些引导页,Keep推荐的东西未必能解决我的痛点,可能我仅仅浏览下就离开了。
(3)刺激
为了提升用户的激活,在引导完成用户完成对核心价值的感知后,我们可以再采用一些刺激手段,触发用户的激活行为。比如:
- 利益刺激:比如新客奖励、首单减免等,这种方法比较适合用在电商交易类的产品上。比如饿了么、美团外卖等平台一般对新用户都有比较大额度的减免或者红包发放。
- 信任背书:信任背书是通过一些名人、大V、权威机构或者其他用户的影响力带触发用户的行为。这种方法常常用于媒体、内容、知识付费等产品。比如微博刚刚开始时候,会推荐你关注明星名人等。
留存的本质是为用户提供持续的价值
我们把完成激活并在一段时间内继续进行使用、浏览、或者购买等关键行为的用户叫做留存用户。我们提升留存的本质是为用户提供持续的价值。所以我们要做的就是想办法为用户提供持续的价值,这样才能提升用户的留存。
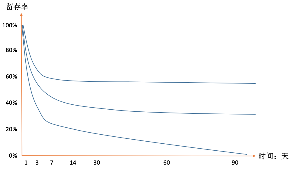
01 找到正确的留存曲线
我们在做用户增长往往重视了获客,而容易忽略留存。就算我们获取的用户很多,如果留存差,当流失的用户大于获取用户数,我们的用户就会越来越少,用户增长就无法持续。就像一个池子,只有当进水口的水大,而出水口小,水才会在池子里越来越多。用户留存要做的就是想办法堵住池子里的流水口。

我们可以看到以上三条用户留存曲线,第一第二条曲线经过用户的流失后,慢慢变得平缓,而最下面一条曲线,用户一直处于下滑状态,直到用户流失趋于0,也就是用户池子里的水基本上全部漏掉了,这样的留存是很差的。
好的留存应该是用户在经过一段时间的下滑后,慢慢变得平缓,而且曲线变平的位置越高,说明我们的留存越好,比如前面两条曲线,第一条曲线大概在60%左右时候变得平缓,第二条大概在40%时候才变得平缓,我们在做用户留存的时候就是要想办法将变平缓的曲线位置提高。
02 关注留存率和留存成本
(1)关注留存率
我们在衡量留存好坏是一定不要仅仅关注留存用户数,留存用户数有价值,但更有价值的是留存率。如果我们仅仅关注留存用户数容易造成我们的误区,比如这次活动的带来的用户留存是100万,上一次的活动带来留存用户是200万,如果我们仅仅看绝对留存用户数,可能上次一的活动效果好,但实际可能的情况是,上次带来了2000万用户,最终却只有200万留下,留存率仅仅为10%。而这次虽然只有100万的留存用户,但是活动带来的用户只有200万,留存率高达50%。所以100万的效果其实反而更好。
所以我们除了看留存用户数外,还要看留存率,一般留存率的计算公式是这样的:留存率=留存用户数/新增用户数。一般说到留存主要是按照时间来划分,比如次日留存、周留存、月留存等。
次日留存率:(第一天的激活用户中,在第2天还登录的用户数)/第一天激活用户数。
7日留存率:(第一天的激活用户中,在第8天还登录的用户数)/第一天激活用户数。
30日留存率:(第一天的激活用户中,在第31天还登录的用户数)/第一天激活用户数。
(2)关注留存成本
这里还要说明的时,其实除了留存率外,应该还要考虑单个用户的留存成本。假如渠道A花了1000块钱获得了100个用户,一天后,只留下了10个用户,而渠道B同样花了1000块钱带来了100个激活用户,一天后,留下了20个。渠道A的次日留存成本为100块钱,而渠道B只有50块钱。说明渠道B的用户质量更好
03 留存的三个阶段及提升留存的方法
一般用户留存会经历三个阶段,即高速流失期、缓慢流失期、平缓稳定期。

- 高速流失期:这个阶段一般是新增的激活用户,流失比较严重的阶段。
- 缓慢流失期:这个阶段用户对产品有了一定的了解,虽然流失还在下降,但开始减缓。
- 平缓稳定期:用户已经对产品比较熟悉,养成了习惯,用户基本较少的流失。
针对不同的用户流失阶段提高留存的有不同的方法,我们根据上面提到的高速流失期、缓慢流失期、平缓稳定期三个阶段看看分别需要采取什么样的方法来提高用户留存。
(1)高速流失期
这个阶段是三个阶段中最重要的阶段,如果做得不好,就容易造成大面积的用户流失,要再获取用户信任,召回用户就难了,而召回一个流失用户的成本往往是维护一个老用户的5倍。
这个阶段用户第一次接触到产品,对产品还没有认知,最主要的留存方法就是要引导用户,让用户感受到产品带给他的核心价值和帮助她解决痛点的能力。
(2)缓慢流失期
这个阶段,用户已经对产品有了初步的认知了,新鲜感在慢慢消失,如果市场上还有其他竞品,仅仅靠我们能解决他们的痛点,带给用户价值,还不足以留住用户,因为其他产品也能解决他们的问题。
这个阶段需要给到用户新的留存的理由和新的刺激,常常有如下以下方法:
- 构建用户激励机制
激励机制就是给用户继续使用的好处。比如签到、等级勋章、积分兑换、特权等。大家一定还记得当年大家为了获得QQ的太阳等级,天天挂着QQ,让QQ始终在线,其实就是为了增加用户留存。
饿了么星选,为了提升品质商户的用户留存,会鼓励用户消费三单就可以得到一个10元无门槛的商家消费券。

京东的京豆、淘宝的淘气值、滴滴打车的积分等,都可以兑换其他商品和礼物或,都是为了提升用户的留存。

- 增加用户沉没成本
所谓沉没成本就是已经发生的不可回收的成本,比如金钱、时间、精力等,他会影响人们的当前决策,人做决策时候不仅仅看当前的利益,也关注以前的付出成本。增加用户沉没成本的目的就是通过提前的成本支出,让用户持续地使用我们的产品,提升用户留存。
(1)金钱成本:
比如提前充值,理发店经常会让用户办会员卡,就是为了提前绑定用户。饿了么的会员,只要出10几块钱开通会员,就可以获得配送费减免、下单优惠、大额红包等优惠。用户会觉得已经出了钱,不用太浪费,当有需求时候最先想到的就是这个平台和产品。

比如我在我家楼下有一家洗车店,我以8折的价格办了一张800块钱的洗车卡,基本就把我绑牢了,差不多一年我几乎没在其他地方洗过车,偶尔还在这家店做个其他服务。
(2)其他成本:
比如微信为什么很难被取代,很重要原因就是用户的关系链都沉淀在微信上,迁移成本太高。
- 个性化推荐
所谓个性化推荐也就根据不同的用户进行精准化的推荐,越精准用户越容易产生购买,越容易喜欢,让用户觉得产品是真正懂他的。比如网易云音乐,每次推荐的歌曲我都很喜欢。
(3)平缓稳定期
平缓稳定期用户已经对产品十分熟悉了,也养成了用户习惯,虽然流失较前两个阶段比较平缓,但是如果长时间没有给到用户新的刺激,用户也会慢慢地流失。
这个阶段要防止用户流失,提高留存最重要的方法就是进行产品的更新迭代,开发创新的功能和玩法。
比如淘宝上的“有好货”、“淘宝直播”等功能就是通过创新不断地刺激用户,提升用户留存和转化。

支付宝的蚂蚁森林通过社交化的游戏化的创新,提升了用户留存。蚂蚁森林和当年的偷菜游戏有点类似,用户只要每天步行、公交、地铁支付、生活缴费等就能积累能量,当能量达到一定值时就可以种下一棵树,而且用户还可以去偷好友的能量值。无形中促使用户经常地打开支付宝,提升了支付宝的打开率。同时,用户为了获得更多的能量,也会更多地使用支付宝,从而极大地提高了支付宝的用户活跃和留存,截止2019年4月,支付宝宣布蚂蚁森林用户数达5亿。

上面提到了很多怎么通过产品提升用户留存的方法,下面我们用一张图归纳一下,让大家看起来更清晰明白。

作者:黄永鹏
