今天分享的案例来自Sirius童鞋,所拆解的【万门教育】Excel"脱白课"分销裂变活动~
1
优质案例拆解
案例名称:【万门教育】Excel"脱白课"分销裂变
案例行业:线上教育
拆解作者:Sirius
案例目标:促活转化
活动简介
Excel"脱白课",原价40元,限时特价9.9元。每邀请一名好友购买可获得5元返现。
活动目的
用9.9元限时特惠价格为噱头,并配合分销返现,吸引用户分享海报,邀请好友报名。
1)可在短时间内使得参与用户量迅速提升,增加产品口碑传播;
2)激活老用户,完成老带新;
3)为产品带来潜在新目标用户;
4)高意向用户筛选,后期课程持续复购转化。
活动对象
新老用户均可参与
活动奖励

案例标签:分销、红包、引流涨粉、品牌宣传
案例背景:
一、公司业务情况
万门教育是一家提供多品类原创精品课程的在线教育平台,课程覆盖大学类、中小学类、软件类、语言类课程等领域。
整体课程定位侧重于"用户刚需"类课程,如语言版块的出国英语考试类课程、小语种培训课程,中学版块的高中全科培训课程,大学版块的各学科基础大课,以及特色的万门通识课程包括PS、化妆等。
万门语言:德语、韩语、法语、意大利语、雅思、托福、GRE、四六级等 ;
万门大学:商学院、理学院、人文社科学院、留学、职业、讲座、通识等 ;
万门中学:高中全科课程、初中全科课程等 ;
万门小学:将包含小学奥数 、小学语文作文 、剑桥少儿英语 、新概念 、基础数学等。
二、流量来源
1)公众号
4个同主体公众号:【万门】、【万门好课】(前万门大学)、【万门教育】、【万门小万君】。
PS:【万门大学】公众号于2021.05.25更名认证为【万门好课】,猜测是与教育部等8部门发文,规范"大学""学院"名称登记使用 有关。数据来源:新榜;查询时间:2021年5月28日。


2)西瓜视频

3)微博

4)APP

5)万门官网

6)其他
暂未发现官方主体抖音账号
三、变现
万门大学由北大校友童哲创建于2012年,提供终身在线学习服务。
课程覆盖领域:家庭教育、小学、初中、高中全科补习及拓展、经济金融、理财投资、计算机、人工智能、职场技能、小语种、会计、资格证书考试、英语、雅思托福、CFA、CPA、FRM、建造师、建筑师、消防工程师、教师资格证、公务员考试等。
课程类别
1、万门一月特训班(周期1个月,包含考证类、计算机科学类、经济管理类人文职场类、语言类、理工科类等方向)
2、万门一年VIP(周期1年)
3、万门终身VIP(终身无限制听课程)
4、数千门微课也课按需单独购买
其他
省、市总代、经销店、个人代理
四、学习方式
采用【直播+回放+录播】的模式。课程相关的课件,讲义,及课后作业等资料都可以在官网课程下方下载,或者在课程交流群的群公告内通过链接下载。

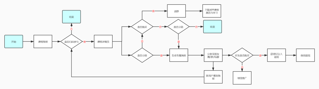
案例路径:

从转介绍效果拆解案例
转介绍效果=分享效率*转化效率*分享频次
1)分享效率
①分享动力
现金奖励:每邀请一位好友报名,即可获得5元现金奖励(实时到账,直接进入微信零钱,增加用户分享动力)
课程价格:原价40元,限时只要9.9元,就能学习到实用的课程。对于推荐人而言心理负担 小, 甚至可以说是值得奔走相告的薅羊毛课程。
活动页面:精确到毫秒的活动倒计时,增强紧迫性;
收益排行榜:刺激用户传播获取收益;已报名用户昵称的实时展现与购买人数的展现,让用户增强了对课程的认可,刺激用户将好课分享给好友,帮助好友一起提升的利他心理。
②分享难度
邀请门槛低:未报名学员也可以直接参加分销
分享路径短:点击[开],生成带有自己头像的海报,保存海报转发即可完成邀请动作
2)转化效率
①海报吸引度

海报6要素:喜好、权威、从众、承诺、互惠、稀缺性。
喜好:【限时仅售9.9元】,利他思维,驱动用户下单;
权威:【表姐】凌祯背书,提高权威性;
从众 :职场人必备技能,塑造场景与气氛;
承诺:零基础即可学习,3小时入门,5重福利搞定Excel,具有保障性;
互惠:原价40 ,仅售9.9,满足用户占便宜的心里。(扫码立即抢购字样可以放在二维码下方,现有位置补充:邀好友学习立返5元)
稀缺性:限时秒杀。(限时不够具体,可以写X日-X日仅限X天,或 仅限前X名/仅剩X名,刺
激用户下单)
②参与难度(新用户转化成老用户的途径)
新用户购买路径:扫码-详情页-立即购买-支付-获取兑换码与扫码进群-下载APP激活课程学习。
1、海报二维码清晰明显,扫描即可跳转课程详情页;
2、购买按钮就在右下角,非常明显。点击"立即购买"即可付款,流程非常简单。(若用户未付款,可新增弹窗,询问是否放弃支付,提升用户购买几率)
3、兑换码支持页面内一键复制,方便用户操作。

3)分享频次:提升分享频次的做法
1、每邀请1位好友学习,即可获得5元现金收益,增加了分享率;
2、分销不设置门槛,未购买课程的用户,也可以邀请好友报名学习。未购买课程的用户相当于0成本参与分销,每单佣金5元,促进用户参与分享。
3、收益排行榜,看到他人通过分享邀请获得实实在在的收益,刺激用户分享,赚取收益。
用LIFT模型拆解详情页
LIFT模型思路,影响LIFT模型的六个因素:
载体:价值主张
推动因素:相关性、清晰度、紧迫性
阻碍因素:焦虑性、注意力分散


价值主张:
增大用户感知到的好处与感知的成本之间的差值,用户将更愿意响应你的行动号召。
职场人必备的Excel技能,3小时快速入门,10倍提升工作效率,仅售9.9元。超值的感觉极易打动用户。
推动因素:
相关性:
提高详情页与你潜在用户期望看到的内容和TA的需求之间的匹配度。
1、从海报上来看,本课程主要面向职场Excel基础较弱人士。
2、从详情页开篇的工作场景带入-到课程特色-福利加持轻松学。体现出课程易上手、实用行高、见效快、轻松学的特点,符合职场用户需求,匹配度高。
不足之处:详情页的四重福利与海报上宣传的五重福利不一致,详情页没有写凌祯老师直播分享群内督学答疑,会造成用户困惑
页面清晰度:
我们需要审视页面是否足够清晰表达你的价值主张或者CTA(用户行为召唤 )。内容和设计,是影响清晰度的两个首要方面。
需要保证图片和文字搭配使受众在理解上花最少的时间。图片和文字互相补充,相互作用增强价值主张,引导潜在用户去相应CTA。
①详情页首先列出几个常见的工作场景带入;
②对课程内容及福利加以图片展示;
③学员好评展示,降低用户疑虑;
④最后,好课共享,分享赚学费+底部固定倒计时浮窗,刺激用户购买或参与分销。
紧迫性:
通过"限时特惠"+倒计时+购买用户昵称流动展示+购买人数展示+收益排行榜,提升紧迫性,促使用户尽快报名课程与参与分享。
阻碍因素:
焦虑性:
焦虑可以理解为是否有阻碍转化的因子,比如用户在转化过程中会纠结哪些问题,怕隐私泄漏?产品不好用?网站加载速度慢?要完成很多步骤?对品牌和支付不信任?
因此我们要提升产品的可用性,易用性,降低用户的努力度,并且增加信用背书,获取用户的信任。
①整体操作过程中,不涉及收集学员姓名、电话等涉及隐私的信息;
②9.9元的限时特惠价格与3小时入门,10倍工作效率提升的学习结果,让用户感受到价值远超成本,降低焦虑感;
③操作路径较短,操作简易,减少用户的操作步骤。(生成自己海报的页面,可以新增复制分享话术的功能,降低用户发圈难度)
注意力分散:
减少分散注意力,减少页面里将用户的注意力从主要的价值主张信息和用户召唤行为上引开的元素。
"立即购买"按钮始终固定于页面下方浮窗 ,提高用户完成操作的流畅性,避免用户在浏览详情的过程中,再次返回寻找购买通道,减少了注意力分散。
1
案例亮点及可复用的点
1)0门槛参与
在门槛设置上,不报名课程也可参与邀请好友学习赚学费的活动,大大提升活动的参与度与传播率;
2)操作简单,路径短
没有收集用户手机号等信息的操作,扫码进入详情页即可报名课程或参与分享,极大的提升用户操作体验;
3)操作引导
详情页最后,告知用户如何参加分享邀请,仅需3步,操作简便且可以赚取佣金,提升用户参与兴趣。
2
待优化的点
待优化的点1:
海报/详情页
1)目前的海报,只吸引了对Excel课程感兴趣或有需求的人继续扫码参与。
2)主要体现了能"给到用户什么"和"用户能学到什么"
3)海报中的5重福利和详情页中的4重福利不一致,很容易造成用户的困惑,这个细节需要注意。
解决方案:
1)海报上可以表达出"邀好友共学,可赚学费"或"新老用户皆可参与赚学费"字样,吸引更多用户扫码分享传播。
2)可增加"学习效果",让课程更具吸引力。学习效果举例:学会即可3分钟完成别人3小时的数据处理工作,可以做出让同事羡慕的高大上的图表
待优化的点2:
社群运营
社群里目前仅进行课程兑换流程讲解和网盘福利资料的领取
解决方案:
可以在群内继续宣传分享赚学费,最大化的曝光活动,增加传播率。
待优化的点3:
关于海报分享
海报分享环节用户路径长
解决方案:
可以在保存个人专属海报页面,增加朋友圈文案的一键复制功能,用户不必自己去想发圈文案,方便用户操作,降低分享的难度。
3
延伸思考
1)本次活动的主要目的是裂变拉新,如何让更多的用户参与到分销活动中来,是设计活动时重要的思考点,各环节都应该围绕这个目标开展。
2)相比于拉好友助力0元领的活动,此类型活动有效的避免羊毛党。
①受邀人必须实际付费9.9元报名课程,不存在拉亲属助力0元薅羊毛的问题;
②一人一兑换码,有效杜绝蹭课的人;
3)关于风控,可以在详情页下方注明违规操作不给于奖励发放,已发放的奖励将追回 字样,避免未预料到的刷单行为造成公司损失。
作者:童童
来源:每日运营案例库
