什么是增长黑客?这个概念起源于美国的互联网行业,其核心就是指以数据分析为基础,利用产品或者技术手段来驱动用户增长。用户增长对于初创公司来说是至关重要的,所以低成本的获客是营销人员一直都在探寻的。
而裂变,正是低成本高增长的典型获客手段,通过裂变活动去实现用户的指数级增长,从而产生大量的新客户,是所有公司都梦寐以求的事情。但是实际上能够做到这一点的公司可以说是少之又少,即便是有的公司偶然做到了这一点,那也只是凑齐了天时地利人和,难以复制。
当然了,今天我们不聊裂变手段,主要来说是裂变背后的一个核心公式——病毒增长公式,以及其核心指标——病毒系数K-Factor。

这个病毒系数模型是出自亚当·潘恩伯格的《病毒循环》(浙江人民出版社·第1版),在《病毒循环》第三章病毒营销模式的建立当中,对病毒系数做了数据化的诠释,在第十章调整病毒系数当中,以Bebo社交网站为例,用病毒系数作为网站用户增长的指标,对Bebo的发展产生的影响。

我们通常用K值去表示病毒系数,简单的去表述的话,K值所代表的就是每个现在的用户能够带来多少个新用户。而用最直接的计算公式去表示的话,就是K=I*Conv
I:Invitation代表的是每个用户发送的邀请数量(分享率)
Conv:Conversion rate指的是每个邀请的成功概率(转化率)
以一场简单的裂变活动为例,假设这场活动在发布以后,一位用户给10个好友发送了活动邀请,那么I=10,而最后有5位好友接受了活动邀请,那么最后的Conv=5/10=50%,而K值=I*Conv=10*50%=5。当然了,现在比较多可能不是单对单的发送邀请,可能是通过社群或者朋友圈去分享邀请链接。假设用户的朋友圈覆盖了1000位用户,最后有7位用户通过朋友圈的邀请进入了活动没那么I=1000,Conv=7/1000=0.7%,K值=1000*0.7%=7。一般来说,我们只有当K值>1的时候,这个裂变活动才能进行下去。
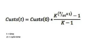
然后我们进一步,去了解一下病毒传播模型:

Custs(t):customers after time 代表的是一段时间后的总用户数
Custs(0):initial customers 代表的是活动开始时的总用户数(初始用户数)
K:viral coefficient 也就是所谓的病毒系数
T:time 指的是病毒传播的总共时间
CT:cycle time 每一轮感染周期所要花费的时间
我们还是以一场裂变活动为例,大概在2018年的时候,课程分销出现了一种新的玩法,大概理解就是众包分销,将KOL们拉到同一个群里,让他们低费用或者0费用购买课程,同时许诺更多的利润分层,让他们去推广课程。一方面KOL有更大的影响力,能够带动更多的购买者,另一个方面,一堆的KOL发同一个课程的海报,本身就是一个很好的品牌课程宣传机会。(嗯,很多就是集体割韭菜了……)
我们假设第一批KOL有100人,那么公式当中的Custs(0),初始用户数就是100。假设一名KOL能够带来5个购买者,那么K值就等于5。而传播总时长一般来说要么是活动方自己停止,要么是因为传播衰退到停止,要么是被封杀而停止。一般来说那种朋友圈刷屏式的活动大多数都是被微信官方封杀的。所以我们假设T的数值为50分钟,差不多25分钟可以有一轮新的传播,也就是第二批人从KOL的朋友圈转发分销海报,那么CT=25,我们要的公式的数值就出来了。

理论状态下,25分钟一轮传播,50分钟可以带三轮来传播(加上第一轮),而每个人可以带来五个用户,那么一个人在50分钟后就可以带来31人,而100人在50分钟后就可以带来3100人。假设每个人可以带来7个用户的话,那一个人在50分钟后就可以带来57人,100人在502分钟后就可以带来5700人。而假设时间延长到100分钟,那就可以带来五轮传播,那么一个人在100分钟后就可以带来781元,100人就可以带来78100人。
持续时间每增加一轮,都会带来指数级的爆发(同理,循环的时间缩减也能达到相应的效果)。当然了,这个只是理论估值,在实际情况下会因为种种因素,实际上很难达到这样的数据,这个我们稍后再说。
由上面的公示和数据我们可以判断出K值、CT的值、还有T值三个因素对于一场裂变活动的影响,Custs(0)的值这边先不去说,因为初始用户数如何去扩大没有太多的技巧可言,主要还是考虑K值,每轮感染时间和总时长这三个值,因为他们的可操作性更强,包含的技巧性也更多,作为裂变活动的运营,最重要的就是针对这三个因素进行优化。而这篇内容重点说的也就是K值。
我们用更具体的数字对比来看一下,K值变化的影响。假设一场活动中初始用户数为10,传播周期为25分钟,总时长设置为六个时长,然后将不同的K值代入公式,然后再绘制一张趋势图,因为K值过大导致结果数值也过大,所以K>2以上的数值就不在趋势图中显示了,否则前期的趋势图看不出波动来。

Custs(t) 变化表

Custs(t) 变化图
病毒系数K的含义是一个初始用户能够带来多少的用户,而从以上数值和图表我们大致可以看出来。
当0<K<1的时候,如K值0.5和0.9所示,虽然用户数值还是有增长的,但是这种增长是非常无力的,属于亚线性增长,一个用户都难以完整的带来另一个用户。如果这种一场裂变增长活动的话,无疑是一场失败的活动。
当K=1时,用户是处于一个线性增长的趋势,不温不火,岁月静好……一个用户能够带来一个新的用户,这样的增长算不上是失败,但是也不能说是一场病毒裂变。坦白说一个公司的常态增长应该就是线性增长,只有少数公司能够实现指数增长,但是对于裂变活动来说,这样的增长还是失败的。
当K>1时,这个增长就会呈现爆发性的增长,我们一般称为超线性增长或者指数增长,这才是成功的病毒裂变,一个用户能够带来多位用户。不过在这种情况下,也就更考验运营人员的能力了,如何让这场成功的裂变可控的,持续的进行下去。
我们再用几个数值去推导一下理论数据。

一个K值等于10的活动,初始用户数100人,感染周期20分钟。
由上表我们可以看出,如果在理论状况下,这场活动在第141分钟的时候,用户数就会达到12亿人,这个数值是现在微信用户总数的数值。倘若这场活动不受传播途径的限制的话,在156分钟的时候,用户数就会达到70亿人,这个数值是现在地球人口的数值,也就是说,两半个小时再加六分钟,不到三个小时的时候,就感染全人类了。
当然了,我们也一直在强调,这是在完美条件下的理论数值,实际上做活动可能达到吗?我们可以很无脑的去说,这个是不可能达到的。不用说传播全球了,就是传播整个微信也是不可能的。微信封杀这种疯狂裂变的活动,不是怕这个裂变活动会攻陷整个微信,只是为了保证微信的用户体验不受过多的影响。
在现实传播当中,往往会受到许多因素的制约,最主要的就是以下这几个:
一个是并非所有的用户的K值都能达到初始的用户的K值,实际上每个裂变活动都会寻找有一定影响力的KOL或者KOC。但是大多数的用户,无论是辐射的用户数还是能够转化的用户数,都远远达不到第一批用户数的水平。
一个KOC的好友基本上在两三千甚至于五千人以上,而一个普通用户的好友可能还不超过500人,这就注定了他们的影响的人群的基数,而且KOC好友更多为行业、职业相关,普通用户的好友更多的是亲戚朋友和同事,受众的精确度是不如前者的。与此同时KOC长期都是在发布一些专业化的内容,更容易得到普通用户的认同,而普通用户一般就在朋友圈里发一些吃喝玩乐的动态,突然间发布一些裂变活动的话,难以得到其他用户的认同。
另一个就是并非所有的用户都会对这个裂变活动感兴趣。所有的活动都有其受众的,就像我们营销学的老师说的,如果有人跟你说他的产品的目标客户是所有人的,可以直接给他挂科了。实际上现在大部分的刷屏活动都没有出圈,刚出圈就消亡了。活动时间越长,接触到的对这个不感兴趣的用户就越多,感染周期也就会随着变长。K值也会越来越小,最后增长趋近于停止,一场裂变活动就差不多随之结束了。

去年国庆的时候,微信朋友圈被【给我一面国旗@微信官方】刷屏了,这场活动大概有超过两亿的微信用户参与进来,最后为活动方APP带去了数百万的用户增量。而这场活动的成本,据说就是200块钱,团队在某个群里发了个红包让大家帮忙转发(结果都领了没转发……)。但是即便是这样参与门槛非常低的活动,到最后参与用户也不到三个亿,就停止了。一个就是不感兴趣的人群就是对这个不感兴趣,又或者是因为高龄人群行动力的缺失无法参与。
那么既然有这样的种种限制,病毒增长模型的应用价值在哪儿呢?
病毒增长模型的应用价值
病毒增长模型的最大价值我想应该是应用在活动的策划、监控和复盘。在病毒增长模型当中,我们可以看到几个数据,初始用户数Custs(0)、病毒系数K、感染周期CT,还有病毒传播总时长T。而我们对裂变活动的运营也就是从增加初始用户数、提高他们的拉新个数、精简缩短用户的传播周期,想办法延长活动的存活周期这四个方面去着手。
Custs(0)初始用户数就相当于是一个初始流量池,这个流量池越大,那么起量也就越快。但是除了初始用户的数量以外,其实更重要的还是初始用户的一个属性问题。初始用户是我们精挑细选的人群,但是针对不同的裂变方案,我们也需要挑选不同的初始用户。并非说KOC/KOL就一定要比普通的用户强。
诚然,像上面所说的KOC/KOL覆盖用户广,信任背书强。但是与此同时他们的好友更多的都是强相关的,人群的重叠度更高,在一些更需求突破圈层去扩散的,参与门槛低的活动,借助那些弱链接的用户更多的人群会更容易渗透到其他圈层。因此在做裂变活动之前要做好初始用户的一个规划工作。
病毒系数K刚才也说明了,是至关重要的一个因素,从这个系数高低,我们基本上就可以判断活动的成败了。对于系数过低的时候就要想办法拉高这个数值了,例如换钩子之类的。但是对于系数多高,也不要太过得意了,可能封杀离你已经不远了,要合理的控制这个数值。
从去年到现在都比较流行的任务宝,拉好友送课程/送书活动来看,三位好友会是一个比较安全的数值,是一个用户参与门槛比较低,容易形成裂变,与此同时又不会超过官方的警戒线的数值。而五位以上的话,一个是参与门槛高容易导致扩散难度加大,还有就是可能活动会被封杀,有一定的风险性。
感染周期CT的话,其实也是官方监控的一个重要因素,如果感染周期过短导致一个活动在一定时间内参与的人群超过某一个阈值,也是容易被封杀的。
但是其实更多的时候,运营可能要考虑的还是怎么去缩短这个周期。主要方法还是想办法去精简活动的一个转化路径,转化路径太复杂会延长整个CT的周期,同时会将一部分用户阻拦在活动外面。路径越简单,用户的参与门槛越低,用户参与的积极性也就越高。
活动总时长的把控,主要是从上面三个因素去实现的。如果裂变不成功,那活动自然就消亡了,总时长自然就短;如果裂变太成功,引起了官方的封杀,那活动也立马就结束了,总时长也长不了。因此,只有将上面的三个因素都控制在合理的范围,让整个活动合理有秩序,才能保证活动的总时长。
如果活动过于火热的话,可以降低自封一些裂变路径,换弱一些的钩子来降低k值,增加一些路径(比如填写个人信息,排队机制等等)提高CT时间来控制。如果真的不可控,就暂停活动,这样至少可以保证活动不被封杀或者已经成功转化的粉丝(到公众号的粉丝)不被官方清空。当然了,如果说是活动太冷了的话,自己逐个环节去优化吧。
最后想要说的就是,如果一场活动下来,最后病毒系数K>1,带来的Custs(t)总用户数量很大,那这个只能够说明这一场活动是成功的,不能够保证说这些用户就一定能够给你创造多大的价值。特别是在这个红海市场的时代里,很大程度上用户的留存,是要大于用户的获取。
当然了,要保证用户的留存,这个主要也跟裂变时所用的钩子有很大的关系。一场活动要从全盘去考虑,比如说在裂变时所用到的钩子影响到不仅仅会引起K值的变化,与此同时也影响到裂变来的用户的属性。
所以说钩子的选择本身就是一个用户筛选的过程,如果你用现金去做钩子,那筛选出来的就是属性不一的泛用户。而如果你用运营课程去做钩子,那筛选出来的至少都是对运营感兴趣的用户。钩子的选择影响到用户属性,而用户属性则影响到后期转化和变现的难度。
关于这一点的话,对To B企业来说更是如此,因为对To B企业而言,用户获取的数量向来都不是最重要的,因为To B企业的产品一般都是不适用于个人的,开发难度大,筛选转化难度会更大。而同时To B企业一个客户的利润也许能够抵得上几千上万个To C企业客户所产生的利润,因此用户质量会远远高于用户数量。
所以对于To B来说,用户属性决定了用户可能产生的价值,如果用户属性不对的话,这个用户可能一辈子都不会接触到To B企业的产品,即便裂变的再多也不能产生价值。因此如果To B企业想要做裂变活动的话,一定要细心的挑选钩子,即便是最后导致K值<1,如果能够获取目标客户的话,也是绝对划算的。
建立病毒裂变模型的意义,在于通过模型去计算判断,从而调整自己的运营行为,完善自己的活动,从而降低试错成本,提高产出效果。但是用户增长从来都不是独立于用户运营的存在,用户留存,用户生命周期这些都应该是在做用户增长的时候就要考虑到的事情。用户最后的付费,最后所创造的价值,才是影响企业生存的东西。
作者: 布衣 来源:投稿
